Prevalence of Musculoskeletal Pain in Medical Students a Cross-Sectional Study at a Medical College in Bengaluru

Prevalence of Musculoskeletal Pain in Medical Students a Cross-Sectional Study at a Medical College in Bengaluru

Dr Karthik MN 1, Dr. Vechan Raj L *2, Dr. Kaushik S 3, Dr. Sriram Prakash K4


1. Professor And Head of Department, Department of Emergency medicine, Vydehi Institute of medical Sciences and Research Centre, Bengaluru, Karnataka, India.

2,3,4. Intern Medical officer at Vydehi Institute of Medical Sciences and Research Centre , Bengaluru, Karnataka, India.


*Correspondence to: Dr. Vechan Raj L, Intern Medical officer at Vydehi Institute of Medical Sciences and Research Centre , Bengaluru, Karnataka, India.

Copyright
© 2025 Dr. Vechan Raj L is an open access article distributed under the Creative Commons Attribution   License, which permits unrestricted use, distribution, and reproduction in any medium, provided the original work is properly cited.

Received: 09 Sep 2025

      Published: 22 Sep 2025

      DOI: https://doi.org/10.5281/zenodo.17174708

     

Abstract

Background: Musculoskeletal (MSK) disorders are one of the common health issues affecting people of various ages. The main risk factors for musculoskeletal pain are age, obesity, gender, level of education, psychosocial factors, occupational factors, decreased mobility and flexibility, and common factors such as consuming TV and video games. College students, especially medical students, are at a higher risk of these complaints as they have longer hours of studying than most faculties due to the competitiveness of their specialty(26)

Methodology: A cross-sectional study was conducted in Vydehi Institute of Medical Sciences and Research Center. Students filled-in the paper-based questionnaire. A modified version of the Standardized Nordic Questionnaire was utilized in this study.

Results: The results of the present study showed that the overall prevalence of Musculoskeletal pain in any body area at any time during Past 12 months was 82.29% and from past 1 week was 58.33%. Lower back and neck pain had a higher prevalence rate of 60.417% and 48.96% respectively during the past 12 months and 38.542% and 31.25% respectively during the past 1 week. The prevalence of upper back pain during the past 12 months was found to be 28.125% and 17.7% for past 1 week. Elbow pain was least reported which had a prevalence rate of 10.417% and 6.25% during the past 12 months and past 1 week respectively.

Conclusion:  Through our study we concluded that the proportion of musculoskeletal pain in medical students is high but there is no association between musculoskeletal pain and study hours ,gender and year of study. The cause for high prevalence of musculoskeletal pain may be mainly due to ergonomics and posture.

Keywords: Musculoskeletal Pain (MSP), Medical Students, Ergonomics, Sedentary Behavior, Physical Activity, Student Health.


Prevalence of Musculoskeletal Pain in Medical Students a Cross-Sectional Study at a Medical College in Bengaluru

Aims and Objectives

The objective of this study is to estimate the prevalence of neck, shoulder, and low-back pains and to identify the factors associated with Musculoskeletal Pain among medical students[10] at Vydehi Institute of Medical Sciences, Bengaluru

 

Introduction

Musculoskeletal pain (MSP) is a common health concern among medical students. Neck, shoulder, and low back pain are the most commonly reported issues. The is because medical education demands prolonged study hours and clinical duties [8]. In addition to this, inadequate physical activity and high psychological stress levels further increase the risk of developing Musculoskeletal pain[10].

Many studies have identified that long sitting hours, poor ergonomics, and academic stress play a major role in causing Musculoskeletal Pain[8]. Sedentary behavior and lifestyle factors, such as lack of physical activity and spending long hours in front of mobiles, PC and Television have also been strongly associated with the development of neck, shoulder, and lower back pain[10]. Psychological stress is an important factor, affecting both the physical and mental health of students.[23]

This musculoskeletal pain has a major impact on medical students , it has lead to reduced academic performance, impaired quality of life, and long-term health complications. To avoid this, it is important to improve ergonomics , teach students stress management and also encourage them to take part in physical activities, this will help us to reduce the burden of Musculoskeletal Pain among medical students[8,23].

 

Review of Literature

1. The study by Abumohssin et al. (2023) looks at the link between body pain and study hours in medical students in Jeddah, Saudi Arabia. The authors found a strong connection between longer study hours and increased musculoskeletal pain. The study emphasizes the importance of good posture and regular exercise to lower pain. Educational institutions should prioritize these aspects for better student health and learning success.

2. Algarni et al. (2017) study how often neck, shoulder and low-back pain occurs among medical students in central Saudi Arabia. The research finds that many students experienced higher incidence of musculoskeletal pain. Long study hours, bad posture and stress link to this pain. The study highlights important information about the physical struggles that medical students really face. Students need to learn about preventive measures and how to maintain healthy posture. This study also adds to the growing pool of evidence on occupational health risks in academic environments.

3 .The study by Dighriri et al. (2019) examines how often neck, shoulder and lower-back pain occur among Jazan University medical students in Saudi Arabia. It shows that musculoskeletal pain happens more often and links this pain with long study hours, poor posture and low physical activity. The research stresses the need for good posture and healthy lifestyle changes to mitigate pain among students. This study helps people understand the health challenges medical students often face. It calls for focused actions and support to help these students.

4. The study done by Thejaswi et al. (2023) examines how often medical students experience musculoskeletal pain and how this pain relates to stress levels they feel. The analysis discovers a strong link between high stress and increased pain in the neck, shoulders and lower back. The research underlines the urgent need for stress reduction methods and better ergonomic practices in medical courses. This study adds valuable insight on how psychological stress and physical health affect medical students. Advocating for Comprehensive wellness programs and promoting its important.

5.  The cross sectional study done by Torbey et al. (2023) assesses the prevalence of musculoskeletal pain in medical students of Damascus, syria. It highlights a high occurrence of musculoskeletal pain. Pain that often occurs in the neck, shoulders and lower back. Prolonged sitting, bad posture and high academic stress are contributing factors for the pain.This research shows a need for ergonomic education and stress reduction programs. Students need to understand good sitting habits. This research provides valuable information. This research enriches the literature on student health by providing data from a conflict-affected region, offering a unique perspective and highlighting the universal challenges faced by medical students.

6. The study by Lin et al. (2022) examines the prevalence of musculoskeletal pain among Chinese medical and dental students. a cross-sectional survey was done. A high incidence of pain, particularly in the neck, shoulders, and lower back was observed. The key contributing factors being long study hours, poor ergonomics, and stress. The research heighlights the urgent need for ergonomic interventions and stress management in med schools.

 7. Smith and Leggat (2007) studied the prevalence of musculoskeletal pain among Australian medical students. It revealed a significant occurrence of pain The pain was more in the neck, shoulders, and lower back. This might be due to prolonged sitting and high academic demands. This highlight the need for ergonomic interventions and health education to improve student well-being.

8. Hayes et al. (2009) carried out a detailed study on musculoskeletal disorders among dental workers. They found a high prevalence of pain in the neck, shoulders and lower back. This study said these problems happened because of static posture, repetitive tasks and poor ergonomic practices. These actions often caused ongoing pain, less work efficiency and a drop in life quality. They also highlighted the need for better work positions and prevention methods to stop these musculoskeletal problems from affecting dentists from a long term impact.

9. Lorusso et al. (2010) studied the prevalence of musculoskeletal pain among Italian X-ray technology students through a cross-sectional survey. The researchers discovered that the students reported back, neck, and shoulder pain as a result of long standing, unappealing postures, and lack of breaks during clinical rotations. This research concluded that a considerable knowledge gap exists among students concerning ergonomics. The authors recommended incorporating ergonomic education and preventive measures into training curriculum to reduce the risk of long-term musculoskeletal issues in this population.

10. Cho et al. (2003) analyzed the association between psychological stress and musculoskeletal pain in Chinese high school students. The study revealed a strong link between psychological stress and musculoskeletal pain, it also revealed that pain is more common in the neck and shoulders. High stress levels, coupled with sedentary behavior, were the factors responsible for pain. The findings emphasized the need for approaches that address both mental and physical health to manage and prevent musculoskeletal pain in students.


Methodology

A cross-sectional study will be conducted in Vydehi Institute of Medical Sciences and Research Center. Students will be filling-in the paper-based questionnaire. A modified version of the Standardized Nordic Questionnaire will be utilized in this study .Data collected has been analysed statistically.[19]

 

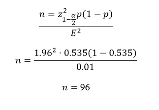
Sample Size

Fig 1

 

Where,

z1- α/2 = 1.96, standard normal score at 95% level of significance

p = Proportion (prevalence of MSP was 53.3%)(from related article)

E = 10%, precision

The minimum sample size is 96

 

RESULTS

Sociodemographic characteristics of study sample (n=96) (TABLE ) 1

 

Male

Female

Total

2nd year

2 (2.08)

4 (4.16)

6 (6.25)

3rd year

7 (7.29)

18 (18.75)

25 (26.04)

4th year

33 (34.375)

32 (33.33)

65 (67.70)

 

Weight and BMI (Table) 2

 

Male

Female

Total

Underweight

1 (1.04)

2 (2.08)

3 (3.125)

Normal weight

31 (32.29)

40 (41.66)

71 (73.95)

Overweight

11 (11.45)

9 (9.375)

20 (20.83)

Obesity class 1

1 (1.04)

1 (1.04)

2 (2.08)

Obesity class 2

0 (0)

0 (0)

0 (0)

Obesity class 3

0 (0)

0 (0)

0 (0)

 

Of the 96 college students recruited, all 96 of them completed the questionnaires, with a response rate of 100%. Forty two (43.75%) were males .Sociodemographic characteristics of the study population are described in Table 1 and 2. Regarding the year of study, students from both sexes were distributed in preclinical years (i.e. before 4th year) and clinical years.Three (3.125%) of the subjects were underweight (i.e. BMI <18.5), Twenty(20.83) were overweight (i.e. BMI =25.0-29.9) , Two(2.08%)  had obesity class-I (i.e. BMI = 30.0-34.9).


Prevalence of Musculoskeletal pain in various body parts (Table ) 3

Prevalence

During past 12 months

During past 1 week

  1. Neck

48.96%

31.25%

  1. Shoulder

25%

15.625%

  1. Elbow

10.417%

6.25%

  1. Wrist and Hand

25%

8.33%

  1. Upper back

28.125%

17.708%

  1. Lower back

60.417%

38.542%

  1. Hips and Thigh

20.833%

11.458%

  1. Knee

19.792%

7.292%

  1. Ankle and feet

15.625%

9.375%

 

 

Musculoskeletal pain during the last 12 months* Total sedentary time  Crosstabulation (Table )4

 

 

 

 

Total sedentary time

Total

Test statistics value

P value

0-5hrs

5-10 hrs

10-15hrs

 

 

MSP

Absent

Count

0

4

13

17

 

 

% of Total

0.0%

4.2%

13.5%

17.7%

 

 

Present

Count

2

29

48

79

 

 

% of Total

2.1%

30.2%

50.0%

82.3%

1.342

0.595

Total

Count

2

33

61

96

 

 

% of Total

2.1%

34.4%

63.5%

100.0%

 

 

 

P<α  considered as significant. But here P>α (0.595>0.05)

Conclusion: There is no association between the variables

 

Musculoskeletal pain during the last 12 months* Gender Crosstabulation (Table? ) 5

 

 

 

Gender

Total

 

 

F

M

 

 

MSP

Absent

Count

6

11

17

 

 

% of Total

6.3%

11.5%

17.7%

 

 

Present

Count

46

33

79

2.964

0.085

% of Total

47.9%

34.4%

82.3%

 

 

Total

Count

52

44

96

 

 

% of Total

54.2%

45.8%

100.0%

 

 

 

P<α  considered as significant. But here P>α (0.085>0.05)

Conclusion: There is no association between the variables

Musculoskeletal pain during the last 12 months*Year Crosstabulation (Table?) 6

 

 

 

Year

Total

 

 

2.0

3.0

4.0

 

 

MSP

absent

Count

1

6

10

17

 

 

% of Total

1.0%

6.3%

10.4%

17.7%

1.148

0.602

present

Count

5

19

55

79

 

 

% of Total

5.2%

19.8%

57.3%

82.3%

 

 

Total

Count

6

25

65

96

 

 

% of Total

6.3%

26.0%

67.7%

100.0%

 

 

 

P<α  considered as significant. But here P>α (0.602>0.05)

Conclusion: There is no association between the variables


Discussion

The aim of this study was to investigate Musculoskeletal pain in a sample of medical students in our medical college , . Few studies have addressed prevalence of Musculoskeletal pain in undergraduate medical students in Saudi Arabia.[10] The results of the present study showed that the overall prevalence of Musculoskeletal pain in any body area at any time during Past 12 months was 82.29%. This finding was supported by a recent study conducted by Algarni et al., 2017, which was conducted among medical students in Central Saudi Arabia, and produced a prevalence of Musculoskeletal pain (at least in one body site) of 85.3%.[10,23]

When comparing our overall prevalence of Musculoskeletal pain with international studies. Alshagga, et al. 2013 in their study of Musculoskeletal pain among Malaysian medical students reported that 45.7% and 65.1% of all students had at least one site of Musculoskeletal pain in the past week and in the past year, respectively.[8] Furthermore, our estimate is higher that the prevalence of Musculoskeletal pain (40.1%) reported for Medical students in the study done by Cho et al., 2003[20] and the medical students from the study of Hayes et al., 2009 (53.4%).[21] Also, Kompal et al., 2017 reported a high prevalence of neck and low-back pain (54%) that occurred with regular frequency in medical students from his study.[22,23]

 

(Table ) 7

Studies

Neck

Shoulder

Lower back

Our Study

48.96%

25%

60.417%

Hayes et al.

64.29%

48.41%

57.94%

Lorosso et al.

16%

11%

27%

Cho et al.

56%

45%

37%

 

Our study results revealed that shoulder pain was reported the least compared to neck and low-back pain. Also, it is reported that low-back pain is more prevalent than neck pain. This pattern is documented by Hayes et al., 2009[6] and Lorusso, et al., 2010 who concluded that low-back pain was more prevalent than shoulder and neck pain.[7] Our study contradicts with Cho et al., 2003 who conducted study among Chinese high school students. They concluded that neck pain and shoulder pain (56%, 45%, respectively) was more reported as compared to low-back pain (37%).[24]

Regarding the factors associated with Musculoskeletal pain and in the in context of this study, there was no statistical significant association between academic year and Musculoskeletal pain. This results is in contradiction with most literature which revealed that complaint of neck, shoulder, and low-back pain increases as the year of education increases and complaint was more in students studying in higher grades.[8,9,10]

The present study did not find a significant association between gender and the Musculoskeletal pain. Although this findings is in the same line of Alshagga, et al., 2013 and Algarni et al., 2017,[8.10] it is in contradiction with many published work.[18,25,23]

Our study revealed there is no association between Musculoskeletal pain and Gender but we observed that among males and females the incidence of Musculoskeletal pain in females is more than males. But screen time and study hours did not show a significant variation among males and females.

The implications of results of this study are very important for health interventions that lead to a better quality of life for future doctors. However, this study has some limitations and should be mentioned first; based on the cross-sectional study design, it was not possible to detect the causality and identification of potential risk factors. Second, the use of a self-reported questionnaire may lead to systematic bias.

 

Conclusion

Through our study we concluded that the proportion of musculoskeletal pain in medical students is high but there is no association between musculoskeletal pain and study hours ,gender and year of study. The cause for high prevalence of musculoskeletal pain may be mainly due to ergonomics and posture.

 

Ethical Considerations

The study was approved by Vydehi Institutional ethics Committee, DCGI EC Reg No.ECR/747/inst/KA/2015/RR21,DHREC Reg No.EC/NEW/INST/2023/KA/0322

Certificate number - VIEC/2024/APP/52

- Confidentiality: Ensured through anonymization of data

 - Compliance: Adherence to ethical guidelines and regulations

 

Availability of Data and Material

The datasets generated and analyzed during the current study are available from the corresponding author on reasonable request.

Competing Interests

The authors declare that they have no competing interests.

Funding

No external funding was received for the conduct of this study.

Limitations

Cross-sectional studies only provide a snapshot of data at one point in time, making it impossible to establish cause-and-effect relationships or determine the temporal sequence between exposure and outcome

This design is prone to bias as it captures only prevalent cases, potentially overlooking incident cases

Acknowledgements

The authors thank the students of Vydehi Institute of Medical Sciences, Bengaluru, for their participation in the study. Special thanks to the statistician for assisting with data analysis and the Vydehi Institutional Ethics Committee for their guidance and approval of the study.

 

References

1. GBD 2017 Disease and Injury Incidence and Prevalence Collaborators. Global, regional, and national incidence, prevalence, and years lived with disability for 354 diseases and injuries for 195 countries and territories, 1990–2017: A systematic analysis for the Global Burden of Disease Study 2017. Lancet. 2018;392:1789–858. doi: 10.1016/S0140-6736(18)32279-7.

2. Hartvigsen J, Hancock MJ, Kongsted A, Louw Q, Ferreira ML, Genevay S, et al. What low back pain is and why we need to pay attention. Lancet. 2018;391:2356–67. doi: 10.1016/S0140-6736(18)30480-X.

3. Ihlebæk C, Brage S, Natvig B, Bruusgaard D. Forekomst av muskelog skjelettlidelser i Norge. Tidsskr Nor Legeforen. 2010;130:2365. doi: 10.4045/tidsskr.09.0802.

4. Long MH, Bogossian FE, Johnston V. The prevalence of work-related neck, shoulder, and upper back musculoskeletal disorders among midwives, nurses, and physicians: A systematic review. Workplace Health Saf. 2013;61:223–9. doi: 10.1177/216507991306100506.

5. Dajpratham P, Ploypetch T, Kiattavorncharoen S, Boonsiriseth K. Prevalence and associated factors of Musculoskeletal pain among dental personnel in a dental school. J Med Assoc Thai. 2010;93:714–21.

6. Hayes MJ, Cockrell D, Smith DR. A systematic review of musculoskeletal disorders among dental professionals. Int J Dent Hyg. 2009;7:159–65. doi: 10.1111/j.1601-5037.2009.00395.x.

7. Lorusso A, Vimercati L, L’Abbate N. Musculoskeletal complaints among Italian X-ray technology students: A cross-sectional questionnaire survey. BMC Res Notes. 2010;3:114. doi: 10.1186/1756-0500-3-114.

8. Alshagga MA, Nimer AR, Yan LP, Ibrahim IA, Al-Ghamdi SS, Al-Dubai SA. Prevalence and factors associated with neck, shoulder, and low-back pains among medical students in a Malaysian medical college. BMC Res Notes. 2013;6:244. doi: 10.1186/1756-0500-6-244.

9. Nawrocka A, Mynarski W, Powerska-Didkowska A, Grabara M, Garbaciak W. Musculoskeletal pain among Polish music school students. Med Probl Perform Art. 2014;29:64–9. doi: 10.21091/mppa.2014.2015.

10. Algarni AD, Al-Saran Y, Al-Moawi A, Bin Dous A, Al-Ahaideb A, Kachanathu SJ. The prevalence of and factors associated with neck, shoulder, and low-back pains among medical students at university hospitals in central Saudi Arabia. Pain Res Treat. 2017;2017:1235706.

11. Kamper SJ, Henschke N, Hestbaek L, Dunn KM, Williams CM. Musculoskeletal pain in children and adolescents. Braz J Phys Ther. 2016;20:275–84. doi: 10.1590/bjpt-rbf.2014.0149.

12. Feldman DE, Shrier I, Rossignol M, Abenhaim L. Risk factors for the development of neck and upper limb pain in adolescents. Spine. 2002;27:523–8. doi: 10.1097/00007632-200203010-00013.

13. Fals Martínez J, González Martínez F, Orozco Páez J, Correal Castillo SP, Pernett Gómez CV. Musculoskeletal alterations associated factors physical and environmental in dental students. Rev Bras Epidemiol. 2012;15:884–95. doi: 10.1590/s1415-790x2012000400018.

14. Gallagher S, Heberger JR. Examining the interaction of force and repetition on musculoskeletal disorder risk: A systematic literature review. Hum Factors. 2013;55:108–24. doi: 10.1177/0018720812449648.

15. Kanchanomai S, Janwantanakul P, Pensri P, Jiamjarasrangsi W. Prevalence of and factors associated with musculoskeletal symptoms in the spine attributed to computer use in undergraduate students. Work. 2012;43:497–506. doi: 10.3233/WOR-2012-1387.

16. Angelone AM, Mattei A, Sbarbati M, Di Orio F. Prevalence and correlates for self-reported sleep problems among nursing students. J Prev Med Hyg. 2011;52:201–8.

17. Stienen MN, Richter H, Prochnow N, Schnakenburg LF, Gautschi OP. Does smoking correlate with low back pain and the outcome of spinal surgery? Z Orthop Unfall. 2011;149:317–23. doi: 10.1055/s-0030-1270706.

18. Wærsted M, Hanvold TN, Veiersted KB. Computer work and musculoskeletal disorders of the neck and upper extremity: A systematic review. BMC Musculoskelet Disord. 2010;11:79. doi: 10.1186/1471-2474-11-79.

19. Kuorinka I, Jonsson B, Kilbom A, Vinterberg H, Biering-Sørensen F, Andersson G, et al. Standardised Nordic questionnaires for the analysis of musculoskeletal symptoms. Appl Ergon. 1987;18:233–7.

20. Smith DR, Wei N, Ishitake T, Wang RS. Musculoskeletal disorders among Chinese medical students. Kurume Med J. 2005;52:139–46. doi: 10.2739/kurumemedj.52.139.

21. Moroder P, Runer A, Resch H, Tauber M. Low back pain among medical students. Acta Orthop Belg. 2011;77:88–92.

22. Kompal R, Kashif M, Riaz U, Dastgir A, Irum H, Manzoor N. Prevalence of low back, neck and shoulder pain and associated risk factors among senior semester female students of the University of Faisalabad. Int J Rehabil Sci. 2017;5:21–7.

23. Dighriri YH, Akkur MA, Alharbi SA, Madkhali NA, Matabi KI, Mahfouz MS. Prevalence and associated factors of neck, shoulder, and low-back pains among medical students at Jazan University, Saudi Arabia: A cross-sectional study. J Family Med Prim Care. 2019;8(12):3826–31. doi: 10.4103/jfmpc.jfmpc_721_19. PMID: 31879620; PMCID: PMC6924257.

24. Cho CY, Hwang IS, Chen CC. The association between psychological distress and musculoskeletal symptoms experienced by Chinese high school students. J Orthop Sports Phys Ther. 2003;33(6):344-53. DOI: 10.2519/jospt.2003.33.6.344.4o

25. Smith DR, Leggat PA. Musculoskeletal disorders among rural Australian nursing students. Aust J Rural Health. 2004;12(6):241-5. DOI: 10.1111/j.1440-1854.2004.00620.x.

26. Abumohssin AG, Alghamdi AA, Magboul MA, Asali FW, Mahrous MS, Basaqr AA, Abduljabbar FH. Association Between Musculoskeletal Pain and Studying Hours Among Medical Students in Jeddah, Saudi Arabia. Cureus. 2023 Sep 13;15(9):e45158. doi: 10.7759/cureus.45158.

27.Thejaswi SG, Mukerji A, Baliga S, Dewan SK, Verma A. Musculoskeletal pain among medical students and its association with perceived stress level: A cross-sectional study. J Educ Health Promot. 2023 Apr 28;12:143. doi: 10.4103/jehp.jehp_1237_22.

28. Torbey A, Kadri SA, Asaad SA, Zahrawi H, Alhouri A, Harba G, Torbey C, Orfali TA, Ahmad Abdalla MZ, Chaar MA, Dammad SA, Al Dammad OH, Zawda A, Kudsi M. Studying the prevalence of musculoskeletal pain among a sample of medical students in Damascus, Syria: A cross-sectional study. Health Sci Rep. 2023 Mar;6(3):e1149. doi: 10.1002/hsr2.1149.

29. Lin Y, Zhang X, Li H, Huang Y, Zhang W, Zhang C. Musculoskeletal pain is prevalent in Chinese medical and dental students: A cross-sectional study. Front Public Health. 2022 Nov 24;10:1046466. doi: 10.3389/fpubh.2022.1046466.

Figure 1

eklsplorasi data dinamis model dunia gameintegrasi model analisis data dalam digitalkerangka analitik dinamika data platformoptimalisasi sistem analisis data teoristudi dinamika data simulasi dalam digitalbermain mahjong ways santai strategicara aman santai mahjong ways tinggigaya santai bermain mahjong ways stabilrahasia main mahjong ways tanpa khawatirtips main mahjong tanpa tekanan minime5 dibalik layar bagaimana rtp harian mengendalikan arah permainane5 era baru bonus dengan kinerja maksimal di mahjong wins 3e5 evolusi rtp harian dan seni mengendalikan strategi moderne5 evolusi rtp live dengan dukungan artificial intelligence canggihe5 fakta di balik scatter dan wild mulai terkuak dari pola algoritmae5 fakta keras tanpa analisis rtp harian strategi anda sudah usange5 framework strategi modern berbasis analisis rtp harian mendalame5 hadirkan bonus inovatif dengan kinerja optimal di mahjong wins 3e5 hanya sedikit yang paham evolusi rtp hariane5 indikasi pola scatter dan wild terlihat dari analisis sisteme5 inovasi bonus terbaru dengan performa unggul di mahjong wins 3e5 inovasi rtp live berbasis artificial intelligence generasi terbarue5 insight baru scatter dan wild dijelaskan lewat studi algoritmae5 integrasi artificial intelligence dalam sistem rtp live moderne5 jangan abaikan rtp harian ini disebut jadi penentu permainan masa kinie5 jangan ketinggalan evolusi rtp harian ini mengubah standar permainane5 jejak pola scatter dan wild terlihat dari perhitungan algoritmae5 memperkenalkan bonus terbaru dengan performa maksimal di mahjong wins 3e5 mengenal bonus inovatif dengan efisiensi tinggi di mahjong wins 3e5 menguasai permainan modern lewat evolusi cerdas rtp harianawalnya terlihat picu mahjong wins viraldari hal kecil besar mahjong beranda digitaldinamika baru digital evolusi pgsoft livehal kecil justru mahjong wins trendinginovasi pgsoft peran rtp live dinamika gamekebangkitan mahjong wins pola invoatifkejadian sepele bikin mahjong wins ramaikonsistensi dalam mahjong ways kuncimahjong wins kembali mencuat pola fokusmahjong wins kembali trending pola bermainmahjong wins naik daun pola strategimengapa strategi lambat mahjong waysmengungkap slow play mahjong hasilmomen ringan alasan mahjong wins munculoptimalisasi sistem pgsfot rtp live pemainpola baru mahjong wins heboh pemainrevolusi sistem pgsoft ai rtp live gamestrategi bermain santai mahjong waysstrategi inovatif pgsoft rtp dunia gameteknik bermain tenang mahjong waysdari sunyi ke ramai pola mahjong winsdinamika spin mahjong scatter wildjangan anggap remeh scatter hitamjejak kombinasi mahjong wins scatterketika scatter kombinasi mahjong wayskunci ritme mahjong scatter putaranmembaca frekuensi mahjong wins scattermenguak susunan simbol mahjong kejutanmenguak susunan simbol scatter wildmomen spesial mahjong scatter wildrahasia pola scatter hitam munculsensasi baru setiap putaran mahjongsetiap spin mahjong terasa scatter wildsusunan simbol sering berujung scattervariasi permainan mahjong ways scattera5 ayambesara5 ayamkecila5 babibesara5 babikecila5 babisuperaws adaptasi strategi mahjong ritme evaluasiaws evolusi visual pgsoft mahjong modernaws kombinasi simbol mahjong keputusan konsistenaws manajemen modal mahjong terkontrolaws mekanisme internal mahjong transisi stabilaws observasi sabar mahjong keputusan terstrukturaws pemilahan risiko mahjong fase stabilaws risiko mahjong disiplin evaluasi harianaws scatter hitam mahjong pola proaws simbol spesial mahjong peluang optimaloke76cincinbetaqua365slot gacorstc76samurai76TOBA1131samurai76 login